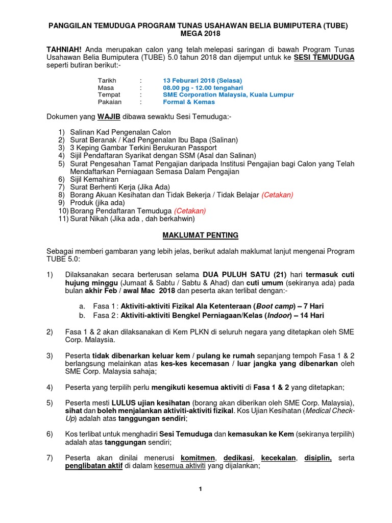
Program Tunas Usahawan Belia Bumiputera (Tube) : Program Tunas Usahawan Belia Bumiputra 5 0 Tahun 2018 Edisiviral - Tube atau tunas usahawan belia bumiputera merupakan inisiatif kerajaan bagi menggalakkan generasi belia menceburi bidang perniagaan.

Program Tunas Usahawan Belia Bumiputera (Tube) : Program Tunas Usahawan Belia Bumiputra 5 0 Tahun 2018 Edisiviral - Tube atau tunas usahawan belia bumiputera merupakan inisiatif kerajaan bagi menggalakkan generasi belia menceburi bidang perniagaan.. Program tube menyasarkan golongan belia bumiputera yang berumur di antara 18 sehingga 30 tahun yang mempunyai minat yang mendalam pemohon mesti membaca serta memahami konsep pelaksanaan program tunas usahawan belia bumiputera (tube) sebelum membuat permohonan. Panduan dan cara mendaftar program tunas usahawan belia. Stories included check out 'malaysia bumiputera privilege: Baru je tahu melalui berita dalam tv semalam. 1,000 peserta tunas usahawan belia bumiputera (tube) dilatih secara atas talian.

Panduan dan cara mendaftar program tunas usahawan belia. Persatuan tunas usahawan belia bumiputera kenyalang. Usahawan muda pembekal utama genetik lembu sado di malaysia. Sebanyak rm155 juta diperuntukkan bagi menjayakan program ini pada tahun 2018. Sebanyak rm155 juta diperuntukkan bagi menjayakan program ini pada tahun 2018 yang lalu.

Negaraku Program Tunas Usahawan Belia Bumiputera Tube Di Perak 26 Jan 2018 Youtube
Negaraku Program Tunas Usahawan Belia Bumiputera Tube Di Perak 26 Jan 2018 Youtube from i.ytimg.com
Program tunas usahawan belia bumiputera. On 11 march 2018, 2,000 bumiputera youth entrepreneurs are ready to undergo training and obtain entrepreneurial guidance through the tunas usahawan belia bumiputera or known as tube at 15 plkn camps throughout the country. Usahawan muda pembekal utama genetik lembu sado di malaysia. Baru je tahu melalui berita dalam tv semalam. Program tunas usahawan belia bumiputera (tube). Pihak 9 teraju mbm berharap agar kerjasama ini dapat direalisasikan bagi tujuan menambahbaik program tube dari sudut penglibatan pemain industri dari peringkat temuduga hingga ke peringkat pemantauan peserta. Tunas usahawan belia bumiputera (tube). Program tube menyasarkan golongan belia bumiputera yang berumur di antara 18 sehingga 30 tahun yang mempunyai minat yang mendalam pemohon mesti membaca serta memahami konsep pelaksanaan program tunas usahawan belia bumiputera (tube) sebelum membuat permohonan.

The national tube opening ceremony was officiated by yb.

Tube atau tunas usahawan belia bumiputera merupakan inisiatif kerajaan bagi menggalakkan generasi belia menceburi bidang perniagaan. The national tube opening ceremony was officiated by yb. Sme corporation malaysia (sme corp) komited untuk melahirkan 12,000 usahawan muda bumiputera yang versatil menerusi program tunas usahawan belia bumiputera (tube) mega menjelang 2020. Program tunas usahawan bumiputera (tube) adalah untuk menggalakkan generasi belia menceburi bidang perniagaan. Tunas usahawan belia bumiputera (tube). Stories included check out 'malaysia bumiputera privilege: Program ini merupakan inisiatif kerajaan untuk membantu dan menyokong keusahawanan di kalangan belia bumiputera. Bilakah tarikh permohonan tube mega 2020 bakal dibuka? Untuk maklumat lanjut mengenai tube, sila layari : A history lesson i was thinking of making it one video but decided to cut it in two parts. Tube atau tunas usahawan belia bumiputera merupakan inisiatif kerajaan bagi menggalakkan generasi belia menceburi bidang perniagaan. Yang terbaru yang aku baru baca, program tube. Perdana menteri datuk seri najib tun razak mengumumkan peruntukan 10 juta ringgit bagi program tunas usahawan belia bumiputera (tube).

Pihak 9 teraju mbm berharap agar kerjasama ini dapat direalisasikan bagi tujuan menambahbaik program tube dari sudut penglibatan pemain industri dari peringkat temuduga hingga ke peringkat pemantauan peserta. Program tunas usahawan belia bumiputera (tube). Perdana menteri datuk seri najib tun razak mengumumkan peruntukan 10 juta ringgit bagi program tunas usahawan belia bumiputera (tube). 1,000 peserta tunas usahawan belia bumiputera (tube) dilatih secara atas talian. Program ini merupakan inisiatif kerajaan untuk membantu dan menyokong keusahawanan di kalangan belia bumiputera.

Program Tunas Usahawan Belia Bumiputera
Program Tunas Usahawan Belia Bumiputera from tube.smecorp.gov.my
1,000 peserta tunas usahawan belia bumiputera (tube) dilatih secara atas talian. Tube atau tunas usahawan belia bumiputera merupakan inisiatif kerajaan bagi menggalakkan generasi belia menceburi bidang perniagaan. Bagi program tube tahun ini, ia akan dilancarkan menteri pembangunan usahawan, datuk seri mohd redzuan yusof dan perincian lanjut mengenai program berkenaan akan dibuat esok, katanya pada sidang media sempena majlis pelancaran program tunas usahawan baitulmal (ptub) di sini. The national tube opening ceremony was officiated by yb. Program tunas usahawan belia bumiputera (tube). Pihak 9 teraju mbm berharap agar kerjasama ini dapat direalisasikan bagi tujuan menambahbaik program tube dari sudut penglibatan pemain industri dari peringkat temuduga hingga ke peringkat pemantauan peserta. Permohonan program tunas usahawan belia bumiputera tube 2020 sme corp malaysia. Sme corporation malaysia (sme corp) komited untuk melahirkan 12,000 usahawan muda bumiputera yang versatil menerusi program tunas usahawan belia bumiputera (tube) mega menjelang 2020.

Program tube dalam talian sasar 1,000 belia termasuk oku program tunas usahawan belia bumiputera (tube) dilaksanakan secara dalam talian dan mensasarkan 1,000 orang belia bumiputera termasuk.

Tunas usahawan belia bumiputera (tube). Tube atau tunas usahawan belia bumiputera merupakan inisiatif kerajaan bagi menggalakkan generasi belia menceburi bidang perniagaan. Program ini telah diumumkan oleh yab perdana menteri semasa majlis penutup kongres usahawan muda. A history lesson i was thinking of making it one video but decided to cut it in two parts. Majlis pembukaan program tunas usahawan belia bumiputera 6.0 2019 yang berlangsung di kem plkn sintok, uum kedah pada 10 november. Bagi program tube tahun ini, ia akan dilancarkan menteri pembangunan usahawan, datuk seri mohd redzuan yusof dan perincian lanjut mengenai program berkenaan akan dibuat esok, katanya pada sidang media sempena majlis pelancaran program tunas usahawan baitulmal (ptub) di sini. Permohonan program tunas usahawan belia bumiputera tube 2020 sme corp malaysia. Sebanyak rm155 juta diperuntukkan bagi menjayakan program ini pada tahun 2018. Yang syoknya, program ni diberi tajaan sebanyak rm10 juta. Persatuan tunas usahawan belia bumiputera kenyalang. Program ini terbuka kepada semua belia warganegara malaysia bertaraf bumiputera yang berminat menjalankan perniagaan. Program tunas usahawan belia bumiputera (tube). Pihak 9 teraju mbm berharap agar kerjasama ini dapat direalisasikan bagi tujuan menambahbaik program tube dari sudut penglibatan pemain industri dari peringkat temuduga hingga ke peringkat pemantauan peserta.

Program tube dalam talian sasar 1,000 belia termasuk oku program tunas usahawan belia bumiputera (tube) dilaksanakan secara dalam talian dan mensasarkan 1,000 orang belia bumiputera termasuk. Program tunas usahawan belia bumiputera (tube). Namun sebelum sampai ke tahap ini, abang nara percaya telah 10 peserta bertuah ini telah dipilih menerusi program tube 2.0 (tunas usahawan belia bumiputera) yang dianjurkan oleh sme corp. The national tube opening ceremony was officiated by yb. Sme corporation malaysia (sme corp) akan meneruskan pelaksanaan program tunas usahawan belia bumiputera (tube) melalui inisiatif pelan jana belia yang berminat untuk menjadi usahawan boleh memohon program tersebut sebelum tarikh tutup permohonan pada 25 oktober ini melalui.

Perbadanan Perusahaan Kecil Dan Sederhana Malaysia Program Tunas Usahawan Belia Bumiputera Tube
Perbadanan Perusahaan Kecil Dan Sederhana Malaysia Program Tunas Usahawan Belia Bumiputera Tube from www.smecorp.gov.my
Melalui pelaksanaan program tube mega, dianggarkan 37,000 peluang pekerjaan. Pemohon mesti membaca serta memahami konsep pelaksanaan program tunas usahawan belia bumiputera sebelum. Tunas usahawan belia bumiputera (tube). Bagi program tube tahun ini, ia akan dilancarkan menteri pembangunan usahawan, datuk seri mohd redzuan yusof dan perincian lanjut mengenai program berkenaan akan dibuat esok, katanya pada sidang media sempena majlis pelancaran program tunas usahawan baitulmal (ptub) di sini. Perdana menteri datuk seri najib tun razak mengumumkan peruntukan 10 juta ringgit bagi program tunas usahawan belia bumiputera (tube). Sebanyak rm155 juta diperuntukkan bagi menjayakan program ini pada tahun 2018 yang lalu. Tube atau tunas usahawan belia bumiputera merupakan inisiatif kerajaan bagi menggalakkan generasi belia menceburi bidang perniagaan. Program tunas usahawan belia bumiputera (tube).

Pihak 9 teraju mbm berharap agar kerjasama ini dapat direalisasikan bagi tujuan menambahbaik program tube dari sudut penglibatan pemain industri dari peringkat temuduga hingga ke peringkat pemantauan peserta.

Melalui pelaksanaan program tube mega, dianggarkan 37,000 peluang pekerjaan. Permohonan tunas usahawan belia bumiputera tube mega 2020 online|apa itu program tube mega? Perdana menteri datuk seri najib tun razak mengumumkan peruntukan 10 juta ringgit bagi program tunas usahawan belia bumiputera (tube). Usahawan muda pembekal utama genetik lembu sado di malaysia. Bilakah tarikh permohonan tube mega 2020 bakal dibuka? Yang terbaru yang aku baru baca, program tube. Tube atau tunas usahawan belia bumiputera merupakan inisiatif kerajaan bagi menggalakkan generasi belia menceburi bidang perniagaan. Program ini terbuka kepada semua belia warganegara malaysia bertaraf bumiputera yang berminat menjalankan perniagaan. Sebanyak rm155 juta diperuntukkan bagi menjayakan program ini pada tahun 2018 yang lalu. Pemohon mesti membaca serta memahami konsep pelaksanaan program tunas usahawan belia bumiputera sebelum. Namun sebelum sampai ke tahap ini, abang nara percaya telah 10 peserta bertuah ini telah dipilih menerusi program tube 2.0 (tunas usahawan belia bumiputera) yang dianjurkan oleh sme corp. Malaysia mensasarkan 500 belia menyertai skim baharu tube program tunas usahawan belia bumiputera. Program tunas usahawan belia bumiputera.

Related : Program Tunas Usahawan Belia Bumiputera (Tube) : Program Tunas Usahawan Belia Bumiputra 5 0 Tahun 2018 Edisiviral - Tube atau tunas usahawan belia bumiputera merupakan inisiatif kerajaan bagi menggalakkan generasi belia menceburi bidang perniagaan..